근의 공식
|
이 문서는 ㄹ 또는 근으로 불리고 있는 대상에 대해 다룹니다. 원래 이름은 ㄹ 또는 근인데 야민정음 때문에 근 또는 ㄹ이라고 많이 불리는 대상에 대해 다룹니다. 이런 인물은 대표적으로 ㄹ혜와 ㄹ6, ㄹ평, ㄹ첩, 이ㄹ가 있습니다. |
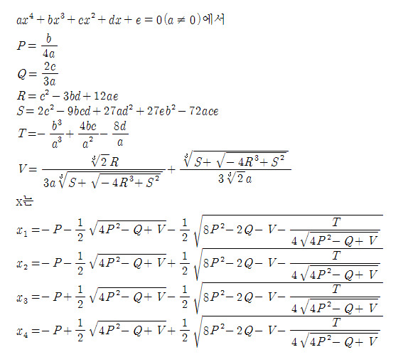
x = − b ± √b² − 4ac2a
x = − b' ± √b'² − aca
본인이 인간임을 증명하는 공식.
대학생이거나 20대인데 이 공식을 모른다면 수포자가 아닌, 공부포기자 즉 공포자라고 봐도 무방하다.
중3때 배우지만 문이과 할 것 없이 고등학교 수학에서 상당히 중요하고, 담는 의미가 많아서 고등학교 수학을 성실히 이수한 학생이였다면 모를 수가 없거니와 유도까지 할 수있는 아름다운 공식.
- 근의 공식도 근의공식이지만 담는 의미 자체는 판별식이 더 크지 않음??
- 문제풀이에서는 판별식은 근과 계수사이의 관계, 수체계에 따른 근의 존재 유무 등을 설명해주기에 중요하다고 할 수 있다. 하지만 근의 공식에서 가장 처음으로 익히기를 바라는건 대수적 사고방식인 같은것을 더하고 빼서 항등원으로 만드는 생각, 제곱꼴로 바꾸어 수식을 조작하게 하는 관찰력, 제곱근을 이용해서 새로운 수체계로 확장하는 기존 수체계의 틀을 깨는 일련의 천재들이 겪어온 과정들이 모두 들어간다. 중학생때는 유도과정이 알려져있으니 그냥 설명하고 넘어가니 그러려니 하지만 실제론 과거 천재적인 수학자들이 머리 쥐어 뜯어가며 고민한 공식임. 수학에 대해 이해가 깊어지고 공부를 하면 할수록 이 근의공식이 가진 심오함을 다시 느끼는 순간이 온다.
대학생이거나 20대인데도 불구하고 이 공식을 까먹었다는둥 핑계대면서 못외면 인간취급 하지말자.
암기방법으로 노래로 외우는 등의 여러 방식이 있다
이에이분의~ 마이너스비 ~플러스마이너스 ~ 루트씌우고 B제곱에 마이너스싸에이씨 근의 공식 다 외었네~!! (외었네)
진지하게 이차방정식 근의공식을 학부생이 모르면 ㅅㅂ 대학 포기해라
그리고 간절히 바라면 우주가 이뤄주는 공식은 근의공식 참조하라.
관련문서는 이차방정식.
써먹을 데도 없고 조립제법 쓰면 훨씬 빠르기 때문에 몰라도 된다
| 근첩! 이 새끼는 근근웹의 더러운 첩자 근첩입니다. 이 문서는 좆버러지 똥통에서 기어 들어온 정의의 사도이자 공명정대한 기준으로 세상을 판별하는 찐따새끼들이 싼 똥이나 그 씨발새끼들과 관련된 것에 대해 다룹니다. 루리웹 회원분들 제발 그만해주세요... 근!하하하하하~ |
근의 공식 = −씹덕±√반일2-4국뽕대깨문
근의 공식 ≠ 찢갈이인지는 아직 증명되지 않았다.
| 알림. 이 문서엔 택배가 오지 않습니다. 이 문서를 담당하는 택배 회사는 오늘 쉬는 날입니다. 그러므로 이 문서의 모든 읍읍틀이 무효화되고 택배 기사들이 출근하지 않으니 안심하고 위험한 짓을 하셔도 무방합니다. 물론 과도하게 지나친 짓을 하다가 희망찬 남산으로 끌려가도 저희 디시위키는 일절 책임지지 않습니다. |
ㄹ의 공식이다.
ㄹ이 만들어서 ㄹ의 공식이다.
처음에 이해하기는 메우 쉬우나, 활용 문제가 특히 어려워 천재들만 사용하는 공식으로 알려져 있다. 이 공식을 만든 자도 사실 천재라 한다.
P:정치/S:우주의 기운/T:생각/Cs:순siri 로 가정하자
그럼 정리되는 식은
P=T÷S ,즉 정치는 우주의 기운 분의 생각이다.
(단,Cs이 변수인지 아닌지에 따라 달라지고, 변수인 경우, P=Cs가 된다.)
Cs의 경우 다른 의미로 세슘이라더라.


