부등식
K-위키
계속하면 정신이 나가 샷건을 칠 수 있으니 하기 전에 다량의 항암제를 준비하거나 전문가와 상의를 권고합니다. 하지만 이미 늦었군요, YOU DIED |
| 주의! 이 문서가 설명하는 대상은(는) 헷갈릴 수도 있습니다. 이 문서가 설명하는 대상은(는) 좆나 헷갈립니다. 현지인들과 수학자들도 헷갈려서 골머리를 앓고 있으니 주의하십시오. 까먹어서 헷갈리는 경우도 있답니다. '되었다'야? '돼었다'야? 쓰벌 좆같네.ㅋㅋ |
- 관련문서: 방정식
고등경시에서는 방정식보다 부등식이 더 어렵다. 등호의 유무차이 밖에 없는 것 같지만 방정식과 부등식은 추구하는 방향이 완전 다르다.
방정식이 해에 관심을 갖는 반면, 부등식은 부등식 그 자체에 관심을 갖는다. 부등식이 성립하는 범위에는 별로 관심이 없다.
약분할때 음수로 곱하거나 나누면 부호가 반대로 바뀐다.
부등식이 이해 안 되는 사람은 진짜 힘든 것 같다. 생각하다보면 암이 걸려 죽을 것 같다.
중2때 처음으로 개념에 대해 다루고, 수1때 다시 배움. 작성자가 고1이라 다음과정은 추가바람
잡다한거 적어봤다.
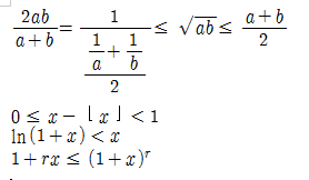
맨 위는 조화평균<기하평균<산술평균
